Статистическая значимость
Теория: AB-тесты
В этом уроке мы обсудим AB-тестирование.
Как и ранее в курсе, возьмем два интерфейса — A и B. Попробуем определить, какой из них больше нравится пользователям. Для этого проведем эксперимент — покажем оба интерфейса двум независимым группам клиентов, а затем соберем данные об изменениях в их поведении.
Наша задача — выбрать самый лучший вариант и обосновать этот выбор. Чтобы это сделать нужно оценить надежность данных, собранных для обоих интерфейсов.
Нулевой гипотезой в нашем случае будет отсутствие зависимости между данными по кликам, а альтернативной - что между интерфейсами A и B есть разница.
Расчет статистических параметров
Представим, что по итогам тестирования мы получились следующую таблицу для версии A. Поле user_id - id пользователя сайта, а clicks - число кликов, которое он совершил на странице до ключевого действия, например, добавления товара в корзину.
И аналогичную таблицу для версии В:
Агрегируем данные:
И также для второй таблицы
Добавим еще один столбец с вероятностью каждого значения. Вероятность посчитаем как отношение количества кликов в ряду к общему числу кликов.
Теперь рассчитаем математическое ожидание как сумму произведений значений на их вероятности.

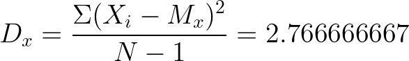
Также рассчитаем дисперсию выборки как

где X(i) значения в оригинальной (не агрегированной) таблице, M(x) мат.ожидание, а N размер оригинальной выборки, равный 10
Тогда, стандартное отклонение σ, корень из дисперсии, будет равно 1.663329993
Если вы работаете в Google таблицах, то стандартное отклонение можно получить с помощью функции STDEV(<диапазон выборки>)
Сделаем аналогичные расчеты для второго теста и перейдем к расчету критерия Стьюдента. Получим `
- M₂ = 11.3,
- D₂ = 2.233333333,
- σ₂ = 1.494434118

Критерий Стьюдента
Первый шаг — проверка распределения данных для определения их нормальности. В этом помогает t-распределение Стьюдента — это способ описания данных, которые при построении графика дает колоколообразную кривую (наибольшее число наблюдений находится вблизи среднего значения, наименьшее — в хвостах). Это разновидность нормального распределения, используемая при небольших объемах выборки, когда дисперсия данных неизвестна.
Критерий Стьюдента (t-коэффициент или t-критерий) — это количество стандартных отклонений от среднего значения в t-распределении. Обычно критерий Стьюдента можно найти в t-таблице или с помощью онлайн-калькулятора.
В статистике критерий Стьюдента помогает определить два параметра:
- Верхнюю и нижнюю границу доверительного интервала, когда данные распределены приблизительно нормально
- P-значение тестовой статистики для
t-тестов и регрессионных тестов
Критерий Стьюдента позволяет определить, насколько случайны изменения в выборках и насколько они связаны друг с другом. Для примера представим, что при использовании интерфейса B появляются изменения в среднем чеке. Если вероятность ошибки невелика, то данные оказываются статистически значимыми — значит интерфейс B работает лучше.
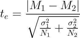
Формула t-критерия Стьюдента для независимых выборок выглядит так:

Рассмотрим ее подробнее:
- M₁ — среднее арифметическое первой выборки
- M₁ — среднее арифметическое первой выборки
- M₂ — среднее арифметическое второй выборки
- σ₁ — стандартное отклонение первой выборки
- σ₂ — стандартное отклонение второй выборки
- N₁ — объем первой выборки
- N₂ — объем второй выборки
Подставим полученные ранее данные, и рассчитаем критерий:

P-значение
Далее мы рассмотрим P-значение. Это уровень значимости, который показывает, с какой вероятностью данные подтверждают нулевую гипотезу.
Уровень значимости задается на начальном этапе и определяет максимальную вероятность совершения ошибки. Критические значения также определяются на основе этого уровня значимости и степени свободы. Если t-статистика меньше критического значения, то гипотеза о случайном характере изменений подтверждается — интерфейс B считается предпочтительным. В противном случае, мы выбираем интерфейс A.
Уровень значимости обычно составляет 5% или 1%, в очень редких случаях это 0,1%. Этот уровень доверия определяет, какие значения t будут считаться статистически значимыми. Чем ниже уровень значимости P, тем более строго анализируются данные и тем меньший разброс данных считается значимым.
Анализ исключает 5% значений на краях — они не учитываются при использовании выбранного уровня значимости. Вместо этого, анализ фокусируется на 95% наиболее часто встречающихся значений в выборке. Это позволяет оценить статистическую значимость изменений, исключить случайные факторы и сделать точный вывод о том, какой из интерфейсов предпочтительнее.
Обычно для определения значимости полученное значение критерия Стьюдента сравнивается с табличным.
Наш критерий равен 4.5254834, что больше табличного значения 3.922 для количества степеней свободы (N1 + N2) - 2. Получается, что уровень значимости меньше 0.001. При уровне меньше 0.05 мы делаем вывод о наличии различий между тестами и подтверждаем альтернативную гипотезу — "интерфейс B отличается от интерфейса A".
Практика
Посчитаем дисперсию и мат.ожидание для каждого из интерфейсов
Ссылка на пример с вычислениями
Повторим расчеты для второго интерфейса
Ссылка на пример с вычислениями
Сведем значения в одну таблицу с помощью CROSS JOIN
Ссылка на пример с вычислениями
Теперь рассчитаем коэффициент Стьюдента.
Ссылка на пример с вычислениями
Следующее, что нам нужно было сделать, посчитать уровень степеней свободы. Оно из себя представляет сумму n1 плюс n2 минус 2. Получаем 18. Теперь нам нужно сравнить соответственно с критическим значением и сделать вывод для уровня значимости 0.05. И критическое значение на пересечении нужного на уровне значимости и степени свободы составляет 2.101.
Теперь давайте подведем небольшой итог. Итак, гипотеза h0. Т-тест не показывает расхождения между выборками, так как тест-статистика, вычисляемая меньше критического. Данные в обеих группах распределены нормально. И возмущение носит случайный характер. Утверждение о том, что данные в обеих группах распределены нормально, мы еще выяснили на прошлом вебинаре. Там мы строили как один из способов доказательства корректности AB-тестирования две гистограммы. И видели, что распределение нормальное.
Альтернативная гипотеза H1 была в том, что тест показывает значительное расхождение между выборками. Это произошло бы, если бы у нас статистика была больше критического. Это обозначало, что данные в обеих группах распределены ненормально, а их возмущение носит зависимый характер.
Мы приняли для наших тестовых данных гипотезу H0 и поняли, что AB-тестирование успешно. То есть мы по сути приняли гипотезу H0.



