Проектирование баз данных
Теория: Вторая нормальная форма
В этом уроке мы разберем вторую нормальную форму реляционной модели, а также два ее требования.
Будем работать с таблицей, которая уже соответствует первой нормальной форме:
order_items
Вторая нормальная форма
Вторая нормальная форма включает в себя два требования:
- Таблица должна быть в первой нормальной форме
- Все неключевые атрибуты таблицы должны зависеть от первичного ключа
Первое требование уже выполнено, так как в таблице:
- Каждая ячейка хранит только одно значение
- Все данные в одной колонке одного типа
- Каждая запись отличается от других записей
Поэтому разберем подробнее второе требование.
Зависимость от первичного ключа
Зависимость атрибута от первичного ключа — это ситуация, при которой ключ имеет значение, зависимое от конкретного контекста. Предположим, что в таблице, Сергей — это всегда один и тот же человек, который делает заказ на разные адреса. В таком случае видно, что адрес привязан к конкретному заказу. Это и есть зависимость от первичного ключа. А вот имя пользователя и его фамилия с заказом никак не связано. Оно имеет отношение к самому пользователю.
Согласно второй форме, атрибуты first_name и last_name необходимо вынести в свою таблицу, которая будет отвечать за пользователей:
users
В этой таблице всего три записи, потому что у нас три уникальных пользователя. Каждому из этих пользователей присваивается первичный ключ.
Теперь нужно связать таблицу order_items с таблицей users. Делается это через указание первичных ключей в зависимых таблицах:
order_items
Мы удалили first_name, last_name и добавили user_id. В этом поле хранятся идентификаторы пользователей, а само поле называется внешним или вторичным ключом.
Такую же операцию нужно произвести и с товаром. Вынесем item в свою таблицу:
goods
https://www.db-fiddle.com/f/borpbYcu7c1dnkuecawvL1/5
Теперь свяжем эти данные с таблицей order_items:
order_items
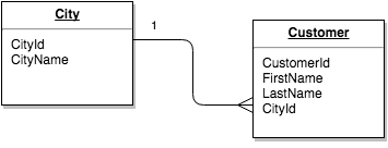
Другой пример внешнего ключа в таблице покупателя и города можно схематично показать так:

Внешний ключ — это не ссылка. Таблицы существуют сами по себе, и во внешнем ключе указывается конкретное значение, которое должно совпадать с первичным ключом другой таблицы.
Так выглядит синтаксис определения вторичного ключа:
REFERENCES <название таблицы, на которую смотрим> (<список полей в той таблице, которым соответствуем>)
Благодаря вторичному ключу поддерживаются гарантии корректности данных. Например, невозможно удалить запись из основной таблицы, если на нее есть ссылки из внешних ключей в другой таблице. Так не получится случайно завести базу в неконсистентное состояние — когда данные ссылаются на несуществующие данные.
Выводы
В этом уроке мы разобрали вторую нормальную форму, ее свойства, а также ее зависимость от внешнего ключа. Осталось изучить третью форму — и у вас будет полное понимание самых распространенных форм в базах данных.
.png)









